Journal of Orthopedic Research and Therapy
ISSN: 2575-8241
Impact Factor: 4.33
case report
Juxta Articular Myxoma of the Hand: A Case Report and Review of the Literature
Mohammed Reda Fekhaoui1*, Ismail Kabbaj1, Laila El’otmani1, Reda-Allah Bassir2, Moncef Boufettal2, Mustapha Mahfoud1, Mohammed Saleh Berrada1
Journal of Orthopedic Research and Therapyopinion
Progranulin is Associated with Osteoporosis by Inhibiting Osteoclastogenesis and Promoting Osteoblastogenesis
Jianlu Wei1,#, Shaoyi Wang1,2,#, Qiyu Bo3,*
Journal of Orthopedic Research and Therapyresearch article
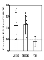
Increased Bone Mineral Density and Improved Metabolic Bone Markers in Patients with Hypophosphatemic Rickets/Osteomalacia Treated with the Calcimimetic, Cinacalcet
Noriyuki Hayashi, Yasuo Imanishi*, Masaya Ohara, Daichi Miyaoka, Yuki Nagata, Masanori Emoto, Masaaki Inaba
Journal of Orthopedic Research and Therapyresearch article
Cuff Tear Arthropathy Following Non-Operative Treatment of Massive Rotator Cuff Tears - a Long Term Study
Netanel Agajany1, Yair Barzilay2, Charles Milgrom3, Ori Safran3, Shaul Beyth3*
Journal of Orthopedic Research and Therapy