Journal of Surgery
ISSN: 2575-9760
Impact Factor: 4.99
research article
Evaluation of HBsAg, anti-HCV and HIV Positivity Rates in Emergent and Selective Surgery Patients in General Surgery in One Year Period
Kazim Duman*, Ali Aksu, Baris Gulturk, Ahmet Bozdag, Gulden Eser Karlıdag, Fatih Erol, Burhan Hakan Kanat, Mehmet Bugra Bozan
Journal of Surgeryresearch article
Respiratory Muscle Strength Correlated with Abdominal Circumference in Obese Individuals in Pre-Bariatric Surgery
Ana Paula Limongi Richardelli Veloso*, Karla Garcez Cusmanich, Renato de Mesquita Tauil, Alexandre Marotta
Journal of Surgerycase report
Aortic Sutureless Bioprosthesis Distortion by Suction of Aortic Vent
Francesca D'Auria*, Mario Fabbrocini
Journal of Surgerybrief report
Anatomic and Functional Respect in Ventriculoplasty: The Twist Technique
Francesca D'Auria*, Mario Fabbrocini
Journal of SurgeryResearch Article
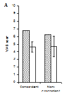
Concordance Between Clinical Examination and MRI Findings, and Its Effect on Surgical Outcome in Patients with Lumbosacral Radiculopathy
James Bourne*, Ana Jeelani, Jessica Fairfield, A. Baker, Karen Wellington, M. Khatri, R. Austin
Journal of Surgery