Journal of Urology and Renal Diseases
ISSN: 2575-7903
Impact Factor: 4.48
research article
Chronic Kidney Disease among Hypertensive Patients Attending a National Referral Hospital in Uganda
Brian Kiggundu1*, Robert Kalyesubula1, Isaac Ssinabulya1, Achilles Katamba1, Emmanuel Ssekasanvu2
Journal of Urology and Renal Diseasesreview article
Post-Transplants Infections: A Brief Review
Fakhriya Alalawi1,2*, Mohsen El Kosi2,3, Jon Kim Jin2,4, Ajay Sharma2,5, Ahmed Halawa2,6
Journal of Urology and Renal Diseasesresearch article
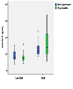
The Correlation of Serum Galectin-3 Level with the Staging of Chronic Kidney Disease Coexistent with Diabetes Mellitus and with Hypertension
Fang-Yeh Chu1, 4, 5, 6*, Shu-Jene Lee1, Chih-Chun Chang1, I-Hsin Lin1, Yi-Ning Lin1, Ping-Hao Huang1, Jung-Li Ho1, Yen-Ling Chiu2, Tzung-Hai Yen3
Journal of Urology and Renal Diseasesimage article
A Stringy-like Blood Clot Mimicking Parasite in the Urinary Bladder
Yi-Shiou Tseng, Chia-Ling Chang, Ching-Biou Liou
Journal of Urology and Renal Diseases