Universal Gas Constant of Volatile Liquids
Moges Abebe* and Bisrat Hailemeskel
Archives of Natural and Medicinal Chemistry
Medicinal Plants Used for Treatment of Diarrhea and Dysentery in Chandpur District, Bangladesh
Mohammed Sohel Howlader, Khoshnur Jannat, Mohammed Rahmatullah*
Archives of Natural and Medicinal Chemistry
The Effect of Consciousness Energy Healing Treatment on Physicochemical and Thermal Properties of 6-Mercaptopurine
Alice Branton, Mahendra Kumar Trivedi, Dahryn Trivedi, Gopal Nayak, Snehasis Jana*
Archives of Natural and Medicinal Chemistry
Antioxidant flavonoids fromNicotiana Plumbaginifolia Viv.Leaves
Mohammad Shafiullah Shajib, Bidyut Kanti Datta, Rasheduzzaman Chowdhury*, Mohammad Abdur Rashid*
Archives of Natural and Medicinal Chemistry
Effects of Usnic Acid on Hyperglycemia and Renal Function in Streptozotocin-Induced Diabetic Rats
Ripal P Amin, Sanket Niranjanbhai Patel, Sunil Kumar, William S. Zito, Michael A. Barletta*
Archives of Natural and Medicinal Chemistry
An Investigation of Phytoconstituents, Cytotoxicity and Proximate Analysis of Some Medicinal Plants in Kashere, Gombe State - Nigeria
Abdu Zakari*, Babayo Umar Abdulkarim, Isyaka M Sani, Sani Aliyu
Archives of Natural and Medicinal Chemistry
Chemical Substance and Human Health
N’Guessan Bra Yvette Fofie
Archives of Natural and Medicinal Chemistry
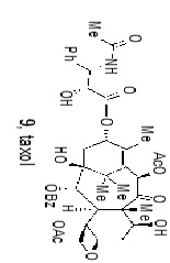
Synthesis of Potent Cytotoxic Analogs of Boswellic Acids
Suryachandra Rao Ravada, Lakshmareddy Emani, Machi Raju Garaga, Trimurtulu Golakoti*
Archives of Natural and Medicinal Chemistry
A Simple Metal-Ligand Catalyzed Heck-Type Reaction for β, β-Doublearylation of Acrylic Acid Esters
Benjamin Wolff, Franz-Josef Meyer-Almes*
Archives of Natural and Medicinal Chemistry
Improved Oral Glucose Tolerance with Ripe Fruit Peels of MusaseminiferaLour
Khosnur Jannat, Md Zakaria Morshed, Sharmin Akter, Mohammed Rahmatullah*
Archives of Natural and Medicinal Chemistry
Cytotoxic Activities of Anthraquinones from Morinda citrifolia towards SNU-1 and LS-174T and K562 Cell Lines
Nor Hisam Zamakshshari, Gwendoline Cheng Lian Ee*, Siau Hui Mah, Zalikha Ibrahim, Soek Sin Teh , Shaari Daud
Archives of Natural and Medicinal Chemistry
Substituted o-vanillin Schiff base derived organotin(IV) complexes:Synthesis, characterization, antimicrobial evaluation and QSAR studies
Rajesh Malhotra*, Ankit Ravesh,Vikramjeet Singh
Archives of Natural and Medicinal Chemistry
Development and Validation of High-Performance Thin-Layer Chromatography Method for Estimation of Teneligliptin in Bulk and in Pharmaceutical Formulation
Prafulla M Patil*, Pritam S Jain, Sanjay J Surana, Swati D Yeole
Archives of Natural and Medicinal Chemistry
Synthesis, Characterization and Anti-Cancer Activity of Some New Heterocycles Bearing Coumarin Moiety
Nadia TA Dawoud*, Nahed F Abdel-Ghaffar, Fekria MA Soliman, Mona M Abdl-galil, Heba M Zaki
Archives of Natural and Medicinal Chemistry
Tribulus terrestris - an Ethnomedical & Phytochemical Review
Aeysha Sultan*, Syeda Laila Rubab
Archives of Natural and Medicinal Chemistry