Current Research in Biopolymers
Cycles of Nitric Oxide (NO), Superoxide Radical Anion (• O2 - ) and Hydrogen Sulfur/Sulfur Dioxide (H2 S/SO2 ) in Mammals
Valentin Palladievich Reutov*, Elena Gennadevna Sorokina, Oleg Ivanovich Sukmansky
Current Research in Biopolymers
Chromatography Purification of the Promising Biomaterial: Elastin-Like Protein Genetically Expressed in Escherichia coli
Yun Maoa, Qi Weib, Sili Weia, Shasha Yanga, Jihong Cuia, Xin Xiea, Fulin Chena, Hongmin Lia*
Current Research in Biopolymers
Elicitation and Characterization of Fatty Acids and Biodiesel Production from the Seeds of Caryota urens
Gokul Raghavendra Srinivasan*, Shalini Palani, Ranjitha Jambulingam
Current Research in Biopolymers
Deconstructing Fast Growing Biomass: Grass, Agricultural Residues and Eucalyptus Bark
Ikenna Anugwom*,Mattias Hedenström, Jyri-Pekka Mikkola
Current Research in Biopolymers
Quantitative Description of the Course of Chemical Evolution
Vasily Alexandrovich Dementiev*
Current Research in Biopolymers
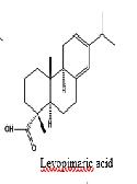
Biopolymers Based on Rosin
Geoffrey R. Mitchell*, Vidhura Mahendra, Dora Sousa
Current Research in Biopolymers
Interaction of Radicals in Polypeptides
Dementiev Vasily Alexandrovich*
Current Research in Biopolymers